氣渦輪流量計的氣體流量標準裝置的比對試驗數據分析
點擊次數:3000 發布時間:2021-01-13 17:43:06
摘要:通過對氣渦輪流量計檢定條件及使用條件一致性限定及技 術處理,提高了氣渦輪流量計使用準確度。然后再通過對空氣-蒸汽介質替代換算系數的實驗研究,確定了空氣-蒸汽換算系數。*次用氣渦輪流量計作為標準用于蒸汽流量量值的傳遞,研究了氣體流量裝置,并獲得了較為滿意的結果。
引言
蒸汽流量計的檢定技術,目前在國內仍處于研究階段,國內一些生產廠相繼建立了以蒸汽為工作介質的標準裝置。但因耗能大,工作條件不好等因素而在努力尋求以空氣為工作介質的新途徑。經調查,目前國內已經出現的以空氣為工作介質的標準裝置主要有二種:一是音速噴嘴式,其裝置測定精度雖然滿足了檢定要求,但裝置造價高,每臺約100多萬元。實踐證明,其技術是可行的,但投資費用及管理運行費用龐大, - .般計量檢定機構不可能普遍采用。其二是風機孔板式,該裝置雖然造價不高,但準確度低,加之該類裝置壓力損失大,而風源壓力低,故量程往往不能滿足檢定要求,**計量部門已確認這一一點。另外國內有些單位也在尋求用渦街流量計來代替噴嘴或孔板的嘗試,但使用參數尚不成熟。
為解決上述蒸汽計量檢定的難題,我們參與研制了LDQ- KJ- 100型氣體流量標準裝置。*次把氣渦輪流量計應用于氣體(含蒸汽)流量量值的傳遞中,并獲得了較為滿意的結果。
1氣體流量標準裝置簡介
1.1裝置的結構
該裝置主要由風源、標準流量、被檢流量和數據處理等四部分組成,如圖1所示。風源部分由柴油機和羅茨鼓風機構成,靜壓力(表)為0.05 MPa,風量為40m3/min,滿足被檢表流量上限要求。標準.流量部分由氣渦輪流量計、壓力表和溫度計等構成,以產生具有規定準確度的標準流量值。被檢流量由被檢表(如分流旋翼式蒸汽流量計)、壓力表溫度計和消音器等構成。數據處理部分由計算機、工作臺等構成,此外還有手動葫蘆、支架、閥門和管路等輔助部件。

1.2 裝置的工作原理
從風源排出的具有--定流量的空氣經標準表和被檢流量計時,在標準表中即產生一定頻率的電脈沖信號,經與之配合的二次顯示儀表輸人電路放大整形后,送人系數單元,把脈沖單位轉換為流量單位,再送入顯示單元進行累計量的數字顯示,然后通過介質換算系數及溫度、壓力等全面修正得出流經標準表的標準質量流量,再通過與被檢表的指示質量流量進行比較,即可得出被檢表在該流量下的相對誤差。
1.3 裝置的主要技術指標(由河北省計量院認定)
1)裝置風源流量上限:40m'/min
2)風源壓力:0.035 ~0.05MPa
3)量程:10 ~440L/s
4)流量穩定度:≤1%
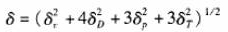
5)裝置精確度:1.15% (置信概率P=95% )壓力表為0.25級的標準壓力表,溫度計分度值為0.1℃的二等標準溫度計。裝置準確度的評定公式為:

式中:δ為裝置的準確度;δ?為標準表的流速準確度;δD為標準表前的管道內徑準確度;δP為壓力表的準確度;δr為溫度計的準確度。
2氣體 流量標準裝置的關鍵技術及創新
2.1標準流量部分是該裝置的關鍵
標準表的選擇可以有多種,本裝置選擇渦輪流量傳感器做標準表,充分利用了該表量程寬、壓力損失小。、易驅動、重復性好、便于控制和調節等諸多優點。一是擴展了裝置的流量測量范圍,滿足了被檢表的量程要求;二是大大降低了標準表的成本。
2.2裝置的準確度是裝置的主要技術指標
本裝置的數據處理利用了計算機技術,在國內*次采用了國外流量界提出的一種理論誤差跟蹤法。其原理是:在流量計的性能穩定即重復性好的前提下,用計算機技術把該標準表檢定時流量標準值(相對真值)加以對應復現(標準表檢定時的檢定點與作為標準表使用時的使用點相吻合),從而逐點消除了該表的系統誤差,只剩下了隨機誤差(實際是重復性誤差)表征標準表的實際準確度,這樣便將名義準確度等級為1.5級的氣體氣渦輪流量計的準確度提高到了0.5%左右。
2.3空氣與蒸汽的換算 系數的確定
這是影響裝置準確度的一個重要因素。我們在查閱了國內大量有關資料的基礎上,分別在空氣及蒸汽測量裝置上,進行了上百次系列實驗,通過對大量不同介質、不同流量范圍及不同測量條件下的實驗數據,進行了回歸處理后,確定了空氣-蒸汽換算的*佳換算系數,為氣渦輪流量計,以壓縮空氣為介質檢定蒸汽流量計提供了必要條件。
3氣體流量標準裝置的比對試驗數據
1)對同一臺蒸汽流量計在該裝置上的檢定結果與蒸汽流量檢定裝置上鑒定結果的比對如表1所示。該裝置準確度為1.25%。表1所列數據為誤差*大值。
2)裝置主要技術參數與同類裝置的比對,如表2所示。

4結論
1)用氣渦輪流量計作為傳遞標準的該裝置,具有量程寬、壓損小、重復性好等優點,克服了其它類型裝置壓損大、量程不夠的缺陷,且造價低廉、其投資是音速噴嘴式裝置的20%左右。
2)對標準表的主要誤差項(系統誤差)采用誤差跟蹤法進行了消除,大大提高了裝置測量準確度。
3)對蒸汽流量量值傳遞中空氣-蒸汽換算系數,由大量實驗數據通過回歸處理來確定,置信度比較高。
氣體渦輪流量計使用環境注意事項
氣體渦輪流量計的精度是多少
氣體渦輪流量計的型號規格
氣體渦輪流量計怎樣提高測量精度
影響氣體渦輪流量計不準原因與處理
氣體渦輪流量計性能特點
氣體渦輪流量計的用途
氣體渦輪流量計在天然氣計量中的應用
壓力對氣體渦輪流量計的影響
氣體渦輪流量計的結構組成
液體渦輪和氣體渦輪流量計有什么區別
氣體渦輪流量計常見故障處理
氣體渦輪流量計的工作原理
氣體渦輪流量計的優缺點有哪些
氣體渦輪流量計使用注意事項
氣體渦輪流量計的安裝規范
氣體渦輪流量計怎么維護保養
氣體渦輪流量計如何正確的選型
氣體渦輪流量計產品結構與工作原理
氣體渦輪流量計產品特點及用途
氣體渦輪流量計的工作原理及優化設計
氣體渦輪流量計標準中關于分界流量的規定與選型應用
氣渦輪流量計的氣體流量標準裝置的比對試驗數據分析
高溫高產氣井測井氣體渦輪流量計轉子應用分析
引言
蒸汽流量計的檢定技術,目前在國內仍處于研究階段,國內一些生產廠相繼建立了以蒸汽為工作介質的標準裝置。但因耗能大,工作條件不好等因素而在努力尋求以空氣為工作介質的新途徑。經調查,目前國內已經出現的以空氣為工作介質的標準裝置主要有二種:一是音速噴嘴式,其裝置測定精度雖然滿足了檢定要求,但裝置造價高,每臺約100多萬元。實踐證明,其技術是可行的,但投資費用及管理運行費用龐大, - .般計量檢定機構不可能普遍采用。其二是風機孔板式,該裝置雖然造價不高,但準確度低,加之該類裝置壓力損失大,而風源壓力低,故量程往往不能滿足檢定要求,**計量部門已確認這一一點。另外國內有些單位也在尋求用渦街流量計來代替噴嘴或孔板的嘗試,但使用參數尚不成熟。
為解決上述蒸汽計量檢定的難題,我們參與研制了LDQ- KJ- 100型氣體流量標準裝置。*次把氣渦輪流量計應用于氣體(含蒸汽)流量量值的傳遞中,并獲得了較為滿意的結果。
1氣體流量標準裝置簡介
1.1裝置的結構
該裝置主要由風源、標準流量、被檢流量和數據處理等四部分組成,如圖1所示。風源部分由柴油機和羅茨鼓風機構成,靜壓力(表)為0.05 MPa,風量為40m3/min,滿足被檢表流量上限要求。標準.流量部分由氣渦輪流量計、壓力表和溫度計等構成,以產生具有規定準確度的標準流量值。被檢流量由被檢表(如分流旋翼式蒸汽流量計)、壓力表溫度計和消音器等構成。數據處理部分由計算機、工作臺等構成,此外還有手動葫蘆、支架、閥門和管路等輔助部件。

1.2 裝置的工作原理
從風源排出的具有--定流量的空氣經標準表和被檢流量計時,在標準表中即產生一定頻率的電脈沖信號,經與之配合的二次顯示儀表輸人電路放大整形后,送人系數單元,把脈沖單位轉換為流量單位,再送入顯示單元進行累計量的數字顯示,然后通過介質換算系數及溫度、壓力等全面修正得出流經標準表的標準質量流量,再通過與被檢表的指示質量流量進行比較,即可得出被檢表在該流量下的相對誤差。
1.3 裝置的主要技術指標(由河北省計量院認定)
1)裝置風源流量上限:40m'/min
2)風源壓力:0.035 ~0.05MPa
3)量程:10 ~440L/s
4)流量穩定度:≤1%
5)裝置精確度:1.15% (置信概率P=95% )壓力表為0.25級的標準壓力表,溫度計分度值為0.1℃的二等標準溫度計。裝置準確度的評定公式為:

式中:δ為裝置的準確度;δ?為標準表的流速準確度;δD為標準表前的管道內徑準確度;δP為壓力表的準確度;δr為溫度計的準確度。
2氣體 流量標準裝置的關鍵技術及創新
2.1標準流量部分是該裝置的關鍵
標準表的選擇可以有多種,本裝置選擇渦輪流量傳感器做標準表,充分利用了該表量程寬、壓力損失小。、易驅動、重復性好、便于控制和調節等諸多優點。一是擴展了裝置的流量測量范圍,滿足了被檢表的量程要求;二是大大降低了標準表的成本。
2.2裝置的準確度是裝置的主要技術指標
本裝置的數據處理利用了計算機技術,在國內*次采用了國外流量界提出的一種理論誤差跟蹤法。其原理是:在流量計的性能穩定即重復性好的前提下,用計算機技術把該標準表檢定時流量標準值(相對真值)加以對應復現(標準表檢定時的檢定點與作為標準表使用時的使用點相吻合),從而逐點消除了該表的系統誤差,只剩下了隨機誤差(實際是重復性誤差)表征標準表的實際準確度,這樣便將名義準確度等級為1.5級的氣體氣渦輪流量計的準確度提高到了0.5%左右。
2.3空氣與蒸汽的換算 系數的確定
這是影響裝置準確度的一個重要因素。我們在查閱了國內大量有關資料的基礎上,分別在空氣及蒸汽測量裝置上,進行了上百次系列實驗,通過對大量不同介質、不同流量范圍及不同測量條件下的實驗數據,進行了回歸處理后,確定了空氣-蒸汽換算的*佳換算系數,為氣渦輪流量計,以壓縮空氣為介質檢定蒸汽流量計提供了必要條件。
3氣體流量標準裝置的比對試驗數據
1)對同一臺蒸汽流量計在該裝置上的檢定結果與蒸汽流量檢定裝置上鑒定結果的比對如表1所示。該裝置準確度為1.25%。表1所列數據為誤差*大值。
2)裝置主要技術參數與同類裝置的比對,如表2所示。

4結論
1)用氣渦輪流量計作為傳遞標準的該裝置,具有量程寬、壓損小、重復性好等優點,克服了其它類型裝置壓損大、量程不夠的缺陷,且造價低廉、其投資是音速噴嘴式裝置的20%左右。
2)對標準表的主要誤差項(系統誤差)采用誤差跟蹤法進行了消除,大大提高了裝置測量準確度。
3)對蒸汽流量量值傳遞中空氣-蒸汽換算系數,由大量實驗數據通過回歸處理來確定,置信度比較高。
下一篇:水渦輪流量計無信號輸出的原因分析及檢查程序與處理方法


