電磁波測距平距和高差計算公式的概述
點擊次數:8152 發布時間:2020-08-12 07:21:43
1、前言
電磁波測距儀已廣泛應用于測邊網、邊角網、導線網和施工放樣。
目前,電磁波測距平距和高差的計算公式頗多,不同型號的測距儀給出的公式也不盡相同,規范和書刊給出的公式也有差異,給使用上造成一些不便,甚至誤用。對此,有必要對平距和高差公式作一綜述。
本文根據已發表的文獻資料,列舉了有關平距和高差的計算公式,指出其使用的范圍和條件,以及應注意的問題,如高程面、相互換算和球氣差改正等,供使用時參考。
2、平距計算
電磁波測距的邊長是斜距S(指經氣象、加常數、乘常數、周期誤差等改正),一般均需把它化算為平距D。
2.1根據高差計算平距

式中:S-斜距
D-平距
H1、H2-分別為測站A(測距儀照準中心)和鏡站B(反射棱鏡中心)的高程
h-測站、鏡站之間高差
R-地球平均曲率半徑(6371KM)
(1)式為嚴密公式,當邊長較長和計算精度要求較高時使用。

當用三角高程計算h時,可用下式:

式中:α-垂直角
K-測線大氣折光系數
(2)式為(1)式的簡化式,所算得的Dm為測站和鏡站平均高程面上的平距。

(3)式為EOK2000測距儀說明書中給出的公式。它可由(2)式應用牛頓二項式展開得出。但用(2)式計算較簡單。
2.2根據天頂距(垂直角)計算平距
①測站、鏡站平均高程面上平均Dm的計算

式中:Z-天頂距
應用(4)或(5)式,天頂距Z無需再加球氣差f(地球曲率和大氣折光差)改正。或Dm=S·sin(Z-f)=S·cos(a+f)(6)
式中:f-球氣差改正,可用下式:

不論仰角或俯角,f恒為正值,注意計算時應把f化為度、分、秒值。
建議采用(4)或(5)式計算較為簡便。
②測站高程面上平距DA的計算

(7)或(8)式即為TC1電子速測儀說明書中給出的公式。
③鏡站高程面上平距DB的計算

在傾角不大的圖根導線測量和地址勘探工程測量以及一般的碎部測量中可用下式:
DB=S·sinZ (11)
應用(11)式,若不加球氣差f改正,則算出的DB為鏡站高程面上的近似平距。
④高程面間平局的換算
(a)DA換算為DM

應當指出:只有計算Dm,方可進行同邊往、返平距D往、D返的比較,符合限差取其D往、D返的比較,符合限差取其D往、D返平均值作為測距成果。
DA或DB不能直接進行往、返平距比較的,而應用(12)或(13)式化算為Dm,才可進行往、返平距的比較。
表1為用(11)式計算的鏡站高程面上的近似平距的往返較差表。

由表1可知,用(11)式計算的往返平距式不能直接比較的,這對于距離較長、天頂距較小的測距邊,往返較差△D值相差甚大。
2.3根據改正數計算平距
①傾斜改正數

②球氣差改正數

③測站、鏡站平均高程面上的平距Dm

2.4斜距和垂直角分開觀測時的平距計算

式中:△Z-視線不平行而造成的垂直角(天頂距)的改正值,用下式:

平距歸化至參考橢球面、高斯平面和測區平均高程面上的計算可參考有關文獻,在此不再贅述。
3、高差計算
3.1根據天頂距計算高差
h=S·cosZ (21)
應當指出:直接用(21)式計算同一邊的往返測高差,總是俯角高差大于仰角高差(指絕對值),且往返高差較差△h(h往+h返),隨S增大而增大,△h總為負值。

(22)式實為(21)式的廣義形式。式中*二、三項分別為大氣垂直折光與地球曲率改正。由(22)式計算的往返高差應是一致的。若仍然出現用(21)式計算時的現象,一般認為是K值與實際不符所致,這可通過取往返高差中數的方法削弱K的影響。
3.2根據垂直角計算高差
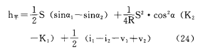
(1)單向觀測高差計算

式中:i-儀器高 v-目標高
(2)對向觀測往返平距高差h平的計算

(24)式為忽略了垂線偏差對高差改正的影響。應當指出:水準測量經過計算得到的是正常高H常,測距三角高程求得是高程是大地高H。
H=H常+hm
hm-高程異常(大地水準面差距)
高程異常 大地水準面差距
如果把測距三角高程結果與水準測量結果進行比較,必須顧及高程異常影響,不能簡單地把水準測量高差直接與測 距高差比較,差值帶有不同高程系統間差異的影響,顯然是不合理的。但在測距邊不長,高差不大時,可把垂線偏差當作均稱變化,這時應用(24)式計算的大地高與正常高相差不多,可與水準測量所得結果直接比較。
上一篇:淺談污水處理廠電磁流量計的檢測
下一篇:我國瞬變電磁法應用綜述


